# 附加阅读
# 为什么你要用GridMemo?
学习者,你好!
我是GrideMemo的创始人冰瓜王,很高兴遇到你。
和你一样,我也对各种各样的知识充满好奇,却一直苦于自己没有一个好记性,总是感觉什么都记不住。
我曾经听过很多课、看了很多书、在软件中记下很多笔记,然后...就没有然后了,那上千条笔记我再也没有打开过读一次。
我也曾迷上思维导图,从Xmind到幕布,从MarginNote到Graffle,各种绘图工具用得滚瓜烂熟,一个个复杂的知识结构被我用线条整理的清清楚楚,我获得了巨大的成就感,然后...又没有然后了,那段时间绘制的几百张思维导图现在存在哪里都不记得。
我还曾是记忆闪卡的拥趸,将详细课程笔记用各种工具批量整理导入Anki,每一张卡片都有问有答,有标注有图片,无比精美。然后,看着几百个复习提示的标识,我瞬间陷入焦虑...
所以在很长的一段时间,我对学习有一种深深的恐惧,觉得学习是一种行为艺术,实际上是花费大量时间精力伺候各种学习工具。这么多年下来,我的硬盘被装满了学习资料,脑子却仍然空空如也。
直到后来...
# 1.救星出现
一个偶然的机会,我发现自己做的那些思维导图中,有一个结构特别有用。这个结构很简单,就是上、中、下、左、右,但在很多的课程中都能直接使用,而且用这个结构总结后的知识竟然很容易就被我记住了。

于是我买来很多九宫格稿纸,在听课看书的时候把要点直接按照这个结构填进格子里,不再做笔记、也不再画思维导图,简单却很有效。经过几年的使用,这个方法我越用越熟练,甚至不需要动笔,在头脑里就可以把知识点放进格子。
我很好奇为什么这个思维框架这么好用,于是读了一些有关九宫格思考法的书,了解了其中的一些原理,但也发现与他们所讲并不完全相同,这让我隐隐的觉得它并不简单。
于是,我按照自己的想法和朋友们把这款软件一起做了出来,并意外的得到了认知心理学阳志平老师的肯定、指导和支持。
这就是今天你看到的GridMemo,一个简单却奇妙无穷的学习记忆工具。
我希望能有更多的人尝试使用,体会到它的神奇之处,同时也让它能有机会帮助更多的人,不再和曾经我一样被遗忘和“表演式”的学习熄灭求知的热情。
那么GridMemo究竟是什么呢?
让我们先来做...
# 2.一个小实验
请回想一下你最近看过的一本书,然后试着回答下面的这几个问题。
书中最关键概念是哪几个?它们的定义是什么?
书中最令你印象最深刻的图片是哪一张?它在哪一页,在左边还是右边?
这本书现在在什么地方?
当回答第一个问题的时候,你是否也和我一样,搜肠刮肚、努力拼凑也只能回忆起几个零散的、毫无关联的词汇,更不用说复述清晰准确的概念了。
当回答第二个问题的时候,你是否立刻回忆起书籍封面上的图案,亦或是其中一张特别有趣的插图。
而当回答第三个问题的时候,你不但能想起这本书被放在了哪个房间,甚至还能想起它在书架的第几层,旁边有什么书,连看完书把它放回书架的动作都能记得的清清楚楚。
为什么我们的大脑总是记住这些看上去毫不重要的背景信息,却几乎遗忘全部重要的内容。
是你的学习方法不对?还是对大脑的工作原理有一些误解?
其实,是因为我们都有一个...
# 3.原始人的大脑
要回答这个问题,我们要先了解一点大脑的进化历程。
科学家认为人类大脑的成型时间约在10万年前左右,这时现代智人的脑容量已经能够支持智人展现出复杂的行为和文化。
语言的复杂化和成熟化大约在5-10万年前完成。
而最早的文字系统在大约在5000年前才出现。
也就是说,在大脑演化形成的过程中,人类还没有掌握复杂的语言和基本的文字。
对于我们的祖先而言,那些在树皮一样的薄片上涂抹出来的花纹并不重要,但越冬的粮食被藏在哪里却非常重要,在哪条路上会遇到野兽更是丝毫都不能记错,所以我们的大脑并不是用来记忆语言文字。
而今天的我们拥有着和祖先几乎一样的大脑,所以当你记不住那些文字书写的知识点时,可以告诉自己,这并不符合人类的本能。
当然,作为现代人的我们,更快更好的学习和记忆知识是在社会中生存的必要技能,绝大多数有价值的知识都以文字的形式存储和展示的。记忆用文字记录的知识虽然不是人类的本能,却也是不得不做的事情。
为了更好的学习和记忆,我们会使用各种各样的工具。整体上讲,这类工具分可以为两类,一类是帮助“理解”的,一类是帮助“记忆”的。
第一类工具是假设知识点只有被理解后才容易记忆,可以通过梳理知识要点之间的逻辑关系来帮助理解、促进记忆,所有的知识图谱软件都是从这个角度开发的。
但是...
# 4.理解≠记忆
这类工具存在的一个问题是——理解是记忆知识的必要条件,却不是充分条件。理解最大的作用是让你的头脑不再排斥这个知识,却无法保证你能记住这个知识。
打个比方:
移植手术是将一个人的器官移植到另一个人的身体中,这种手术成败的关键在于降低排异反应。因为在人类的免疫系统看来,其他人的器官不属于自己身体的一部分,是有害的入侵者,免疫系统发起的攻击会直接杀死被移植的器官。
同样,学习知识就是将别人总结好的知识移植入自己大脑中的认知网络,但大脑也有自身的认知免疫系统,不会对所有知识都照单全收,因为那样是非常危险的。
对知识梳理理解的过程就是大脑的免疫系统对知识的筛查,无法被理解的知识自然会被大脑视为异物而排斥,即使短时间记住了也很快忘记。这就是为什么要这类记忆工具强调理解知识的重要性。
但是,理解只是大脑验证了知识的准确性,并不意味需要记住它。我们的大脑决定是否记忆的依据是它是否有用。
我们的大脑不会因为一个知识有道理就记住它,而是记忆自己与这个知识的关系,尤其是与位置相关的信息。就像我们在一开始做的那个实验一样,我们不会记住书中的概念术语,但是会记得插画在哪一页,书被放在什么位置。
那么,我们能否使用这个方法来帮助记忆吗?
当然可以,这就是...
# 5.记忆宫殿
对于我们的大脑而言,一个知识在什么位置,会比一个知识本身是什么更容易记忆,这体现出一个非常重要的认知心理学原理——“空间记忆”。
“空间记忆”你听上去会有一点陌生,但它的实际应用“记忆宫殿”法你可能比较熟悉,这是很多记忆高手使用的记忆方法。
简单的说,这些记忆高手会在头脑中想象出一个巨大的宫殿,其中有很多房间,每个房间有不同的陈设。
当需要记忆一些内容的时候,记忆高手会把这个要记忆的内容对应到某个房间中的某个设施上,无论要记忆的内容有多少,都可以与这个巨大的宫殿中海量设施一一对应。
而当需要回忆时,只需要想象自己在记忆宫殿之中漫步,看到哪件陈设,就想起它对应的内容,记忆高手就这样回忆起全部内容。

说起来很简单,做起来却很不容易。为了掌握记忆宫殿的记忆法需要长期练习,才能在瞬间将要记忆的内容和宫殿中的某个设施关联对应起来。而每个记忆高手使用的记忆宫殿不同,对应方法也因人而异,所以并不是他把记忆方法告诉你,你就能够学会。因此,没有办法让每个人都成为记忆高手。
有没有简单的工具,能让普通人也能使用记忆宫殿的方法来记住要学习的知识呢?
有,这就是GridMemo能帮你做到的事情!
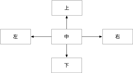
GirdMemo看上去只是一个简单的九宫格,但实际上却是一个简化版的记忆宫殿。它只保留了9个格子,分别对应我们每个人都最熟悉的空间方位:上、下、左、右,中,左上、右上、左下和右下。你可以一次性把九个知识点放进格子里进行记忆。
至于哪个知识点应该被放在哪个格子中完全可以依赖你自己的本体感觉,因为几乎接触到的每一个知识概念都在一定程度与方位感相关。

比如,“知识”这个概念,它是一种高维的、抽象的、在你头脑中的存在的事物,你自然而然会把这个概念放在GirdMemo位于上方的格子中。
再比如,“行动”这个概念,它是一个具体的,需要落实的动作,“行”本身就是用脚完成的,所以你会把它放在GirdMemo位于下方的格子中。
再比如,“资源”这个概念,它是在过去的长期行动中积累产生的,你会把它放在左边的格子中,因为我们通常会认为左边代表过去,右边代表未来。那么自然“成长”这个象征未来的概念也会被你放在右边的格子中。
所以,在使用GridMemo的时候,即使没有经过记忆高手那样长期的刻意练习,你也能够凭借这些概念在你头脑中的方向感自然而然的放入到相应的格子中。而知识要点一旦被放进格子中,就立刻被赋予了空间方位的属性,你就可以通过空间记忆来强化对知识要点本身的记忆。
你也可以像记忆高手一样在你创作的这个格子之中漫步,随手唤醒曾被你放入格子的知识。

另一方面,GridMemo的九宫格还能提供知识宫殿无法提供的帮助,那就是促进对知识的理解。
因为,每个格子都是一张缩小版的...
# 6.思维导图
记忆高手通过记忆宫殿来记忆内容时,会把内容拆分成毫无关系的物体分别放在记忆宫殿的不同位置。这样虽然能够记住每一个要点,却不能理解知识点之间逻辑关系,所以更适合记忆没有实际含义的一组信息,比如一副打乱的扑克牌顺序。
而GridMemo本身的结构化设计能够把知识点之间的关系重新还原出来。
比如上面“知识”“行动”“资源”“成长”这四个概念分别放入了九宫格的上、下、左、右四个格子中,你就会发现他们之间实际上能够反应出一种人生发展模式,即学习知识,付诸行动,积累技能,获得成长。四个格子的位置深刻的反映出这四个概念所代表主观vs客观、过程vs结果的逻辑关系。

所以GirdMemo并不仅仅是简化的记忆宫殿,而附加了思维导图在理解知识方面的功能。你可以把GridMemo看做是一个更简单更灵活的思维导图。
一方面思维导图只能在左侧和右侧两个方向拓展,而GridMemo可以同时在上、下、左、右四个方向上扩展。
另一方面,思维导图只能将知识进行拆解和关联,本身无法展示出知识的结构。知识要点之间的逻辑关系需要额外通过语言词汇来说明。但GirdMemo却可以用格子的形状位置呈现出知识的结构关系。比如:
用竖向的三个格子代表处于高、中、低三个维度的空间关系
用横向的三个格子代表过去、现在、未来的时间关系
用上、左下、右下的三个格子代表三个变量互相影响制衡的关系
用左上、右上、左下、右下的四个格子代表两个分析维度的四种可能性
用上、中、下、左、右的五个格子代表时空变量的逻辑关系等等



正如我们前面所说,我们的大脑对于词汇不敏感、但对于位置结构很敏感,记住一个知识的逻辑结构往往比记住一个知识本身更容易也更重要。所以将知识的逻辑结构用格子的位置来展示出来就会更容易形成记忆。
再比如:管理学最经典的分析模型——波特五力模型,包括了五个要素,分别是 供应商、同行竞争者、客户、潜在进入者和替代品。一开始学习这个知识的学生一定不明白为什么是波特教授会提出这五个要素,他们之间有什么关系,更不用说记忆了。但只要把他们放入GridMemo中你就能瞬间理解。
供应商、同行竞争者、客户这三个代表了产业链的上游、中游和下游,自然放在左、中、右三个格子中。
潜在进入者从其他行业过来,往往是更强大的竞争对手,因此放在上方。而替代品是更为低质的替代,所以放在下方。

这样这个波特五力模型就通过一个十字形的格子被拆分并理解了,哪怕你忘记了某一个格子的内容,只要回忆起这个格子的位置和它代表的含义,就可以瞬间回忆出这个知识点的内容。
也许你会问,既然空间记忆这么好,为什么GridMemo只有9个格子,而不是16个、25个呢,那样不是可以更准确的呈现出知识的内在逻辑结构吗?
这源于另一个重要的认知心理学原理...
# 7.工作记忆
我们大脑的长期记忆能力虽然很强大,一辈子能够记住很多事物,但工作记忆却有限。工作记忆就像是电脑的内存,提供短期的存储功能。如果内存不足,电脑会立刻蓝屏崩溃,无法正常运行。而我们大脑的工作记忆数量在5~9个之间,最新的研究甚至说普通人只有4个工作记忆,也就是如果同时处理的信息超过四个时,大脑就会宕机了,更不用说理解和记忆了。
但是,当你用思维导图来学习理解的时候,一张导图上可能同时有上百个概念,以及他们之间纷繁复杂的关系。这些海量的内容会立刻占满你的全部工作记忆,根本无法执行进一步思考和记忆。所以,再请你回忆一下,你现在还能回忆起任何一张你曾经绘制或看到过的复杂的思维导图吗?

GirdMemo只有9个格子,但你无论工作记忆有多少个,都可以只使用GridMemo中固定的几个格子来适应自身的工作记忆的需求。

当然更好的方法是只使用其中的3~5个格子。这样就确保了你每次学习的知识不会超过工作记忆的负荷。毕竟,任何学习记忆的前提条件是,你的大脑不要宕机。即使只有3个工作记忆,也可以通过分解三次实现9个知识组块的学习。

说了这么多,你也许又会问,我并不想要理解知识,我只是单纯的快速记住应付考试就够了。
这就不得不提到另一类记忆工具...
# 8.记忆闪卡
闪卡软件的功能是通过对知识的重复记忆,来减缓记忆衰退的效果,也就是认知科学中的艾宾浩斯遗忘曲线。这类软件都有非常科学的记忆算法支持,如果严格执行能有效的维持对知识内容的熟悉度。但这类软件没有解决的一个问题是,闪卡中的知识内容应该如何呈现?
- 把一个知识点放在一张卡上?还是把一组知识点放在一张卡上?
- 图片、思维导图,整段精准描述的文字是否应该放在卡片上?
如果一张卡片上只放一个知识点,那么知识点之间的逻辑关系就无法得到呈现,而这个往往是更重要的内容。更为严重的是,这样会导致卡片的数量会几何级数的增加,一门学科就会有四五百张的卡片。在这种情况下,完成一次完整的复习都几乎是不可能的事情。
但如果一张卡片上放的是一组知识,那么每次阅读一张卡都会花费很大的精力重新理解知识点的内容和逻辑关系,几乎相当于重新学习一遍。更为严重的事,一张卡片上的个别知识点的内容不熟悉也只会导致整张卡片被重新复习。

闪卡存在的另一个重要问题是,学习者制作用来复习和学习的卡片需要消耗大量的时间,即使有各种各样的卡片生成软件,也无法确保卡片的生成质量。当然也可以获得其他人做好的卡组,但这又回到了之前的问题,不是自己制作的卡片自己一定没有理解,大脑就更不愿意记忆了。最终,使用闪卡会导致学习的大部分时间都被用在了准备学习资料的过程中,而复习又成了苦行僧一般的折磨。
幸好,GirdMemo可以解决这个问题,因为你使用GridMemo复习的内容正是在之前阶段自己亲手制作的九宫格。因为九宫格已经将知识的内容和逻辑很好的封装了起来,每一个格子就是一个完整的知识卡片,阅读速度极快。又由于卡片是学习者自己创作的,几乎没有理解成本,一眼扫过去就可以完成复习。甚至可以说,你并不是在复习,而是“再次欣赏”自己创造的知识积木。更为重要的是,这些格子是在学习者在第一次学习的时候就已经做好的,如果用写格子代替记笔记的过程,就完全不需要专门的创作过程。

而一旦格子做好并打开复习功能,GridMemo会自动为学习者安排好复习的计划,使用和闪卡一样的优秀算法帮助学习者定期复习,保持极高的熟练度。

不但如此,每个GirdMemo的九宫格不是知识孤岛,因为它还可以无限地拓展和延伸。
这些彼此逻辑上紧密相关的格子可以构建出一棵...
# 9.知识之树
你可以将一个学科的知识体系想象成一颗向上无限拓展的知识树,我们将这颗树上方的树冠横向的一层层切开,每一个切片都包含若干个树枝,也就是这个层级的知识要点。你会发现,其实每一个切片都可以做成一个GridMemo的九宫格,我们用很多个九宫格就可以还原出整个的知识树结构。从这个角度看,GridMemo就像是一个知识的容器,它可以把纷繁复杂的知识要点连同它们的内在逻辑关系一起打包压缩成了最容易被大脑记忆的形式。
虽然每个九宫格最多只能放9个知识点,但可以将其中的每个知识点都作为另一个九宫格的标题,进一步拆分为9个次级的知识点。这种拆分可以无限进行下去,但实际上仅拆分4层就可以容纳9×9×9×9=6561个知识点,足够应付任何复杂学科的学习了。而通常一个普通学科的关键概念在100个左右,只要20多个格子就容纳。
那么...
# 10.GridMemo到底是什么?
经过上面的介绍,你会发现GirdMemo竟然巧妙的将学习、理解、记录、记忆这一整套过程,使用九宫格这一载体融合在一起,将全部过程简化为两个动作——创作格子和复习格子,因此能够极大地提高了学习的效率和效果。它是一个全新的学习工具,所以...
- GridMemo不是笔记软件
它能够将知识放入你自己的头脑,而不是外在的大脑。
- GridMemo不是思维导图
它能够让你理解知识的结构,而不仅仅是呈现出来。
- GridMemo不是记忆闪卡
它能否让你获得对知识的长期记忆,而不是只有短期记忆。
它从学习效果的角度整合了所有这些软件的功能,但更简单更优雅。
如果一定要给它一个定义,我觉得应该是这样...
- GridMemo是知识的传输协议
它能将书本上的文字知识标准化为更容易被你的大脑理解和记忆的空间形式,更有效的将知识送入你的头脑。
- GridMemo是知识的培育容器
它能让你以自己的方式理解知识,让知识融入你的思想体系,在你的头脑中孕育成长,成为能够随时运用的智慧。
- GridMemo是最值得尝试的学习记忆工具
它有一点难度,但绝对能带来意想不到的收获。
请你相信:
知识放入格子,
记忆随时唤醒。
希望GridMemo能在今后的时光中陪你一起学习、成长。
冰瓜王
写于2024年06月28日